Евгений Колесников 4 months ago
parent
commit
6d856d0f26
13 changed files with 1 additions and 1 deletions
  1. 1 1
      articles/t1l2.md
  2. BIN
      img/t1l2p1.png
  3. BIN
      img/t1l2p10.png
  4. BIN
      img/t1l2p11.png
  5. BIN
      img/t1l2p12.png
  6. BIN
      img/t1l2p2.png
  7. BIN
      img/t1l2p3.png
  8. BIN
      img/t1l2p4.png
  9. BIN
      img/t1l2p5.png
  10. BIN
      img/t1l2p6.png
  11. BIN
      img/t1l2p7.png
  12. BIN
      img/t1l2p8.png
  13. BIN
      img/t1l2p9.png

+ 1 - 1
articles/t1l2.md

@@ -300,7 +300,7 @@ flowchart TD
     input-->if1{a ≠ 0}
     if1-->|нет|input
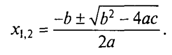
     if1-->|Да|proc1[d := b<sup>2</sup> - 4ac]
-    proc1-->if2{$$d \geq 0$$}
+    proc1-->if2{d ≥ 0}
     if2-->|Нет|output[/Нет вещественных корней/]
     output-->finish
     if2-->|Да|proc2["x1 := (-b + √d)/(2a)"]

BIN
img/t1l2p1.png


BIN
img/t1l2p10.png


BIN
img/t1l2p11.png


BIN
img/t1l2p12.png


BIN
img/t1l2p2.png


BIN
img/t1l2p3.png


BIN
img/t1l2p4.png


BIN
img/t1l2p5.png


BIN
img/t1l2p6.png


BIN
img/t1l2p7.png


BIN
img/t1l2p8.png


BIN
img/t1l2p9.png