uml_state.md 35 KB

Диаграмма состояний

После создания одной или нескольких диаграмм вариантов использования системный аналитик с заказчиком определяют приоритетность проработки вариантов использования и детализируют их. Главная цель данной процедуры – поиск ответа на вопрос: «В процессе какого поведения система обеспечит необходимую функциональность?».

В UML имеется несколько видов диаграмм, позволяющих детализировать варианты использования, – это диаграммы поведения. В связи с этим могут использоваться разные способы детализации:

  • с помощью диаграмм автоматов (состояния);
  • с помощью диаграмм деятельности (аналог блок-схем);
  • с помощью диаграмм взаимодействия (последовательности и коммуникации).

Диаграммы автоматов (англ. state machine) используются для описания поведения, реализуемого в рамках варианта использования, или поведения экземпляра сущности (класса, объекта, компонента, узла или системы в целом). Поведение моделируется через описание возможных состояний экземпляра сущности и переходов между ними на протяжении его жизненного цикла, начиная от создания и заканчивая уничтожением. Диаграмма автоматов представляет собой связный ориентированный граф, вершинами которого являются состояния, а дуги служат для обозначения переходов из состояния в состояние.

  1. Под состоянием (англ. state) понимается ситуация в ходе жизни экземпляра сущности, когда эта ситуация удовлетворяет некоторому условию, экземпляр выполняет некоторые операции или ждет наступления некоторого события. Например, для объекта его состояние может быть задано в виде набора конкретных значений атрибутов, при этом изменение этих значений будет приводить к изменению состояния моделируемого объекта.

    В UML различают два вида операций: действие и деятельность. Действие (англ. action) – это атомарная операция, выполнение которой не может быть прервано, приводящая к смене состояния или возвращающая значение. Примерами действий служат операции создания или уничтожения объекта, расчет факториала и т.д. Деятельность (англ. activity) – это составная (неатомарная) операция, реализуемая экземпляром в конкретном состоянии, выполнение которой может быть прервано. В частности, под деятельностью можно понимать процедуры расчета допускаемых скоростей или шифрования данных.

    Событие (англ. event) – это спецификация существенного факта, который может произойти в конкретный момент времени. События могут быть внутренними или внешними. Внешние события передаются между системой и актерами (например, нажатие кнопки или посылка сигнала от датчика передвижений). Внутренние события передаются между объектами внутри системы. В UML можно моделировать следующие виды событий:

    • посылка сообщения (англ. message):
      • вызов (англ. call);
      • сигнал (англ. signal);
      • любое сообщение (англ. any receive);
    • событие времени (англ. time);
    • изменение состояния (англ. change).

    Вызов – спецификация факта посылки синхронного сообщения между объектами, предписывающего выполнение операции (действия или деятельности) объектом, которому посылается сообщение. Синхронность означает, что после посылки вызова объект-отправитель передает управление объекту-получателю и после выполнения последним операции получает управление обратно. Например, закрасить фигуру красным фоном fill(red) или рассчитать допускаемые скорости calculateVdop().

    Сигнал – спецификация факта посылки асинхронного сообщения между объектами. Исключения, которые поддерживаются в большинстве современных языков программирования, являются наиболее распространенным видом внутренних сигналов.

    Событие времени – спецификация факта, обозначающего наступление конкретного момента времени (англ. absolute time) или истечение определенного промежутка времени (англ. relative time). В UML данный факт обозначается с помощью ключевых слов «at» (например, at 9:00:00) и «after» (например, after 2 seconds).

    Изменение состояния – спецификация логического условия, соответствующего изменению состояния экземпляра сущности. В UML оно обозначается с помощью ключевого слова «when» (например, when A < B) или сторожевого условия (например, [A < B]).

    Состояние отображается в виде четырехугольника со скругленными углами, внутри которого обязательно записывается имя. Рекомендуется в качестве имени использовать глаголы в настоящем времени (звенит, печатает, ожидает) или причастия (занято, передано, получено).

    Способы отображения состояний

    Характеристика состояния может содержать описание выполняемых операций, перед которыми указывается одна из стандартных меток:

    • entry (англ. – вход) – действие при входе, выполняемое вне зависимости от того, по какому переходу был выполнен вход в состояние. Например, создать соединение с базой данных entry / createConnect();

    • exit (англ. – выход) – действие при выходе, выполняемое вне зависимости от того, по какому переходу был выполнен выход из состояния. Например, закрыть соединение с базой данных exit / closeConnect();

    • do (англ. – выполнять) – деятельность в состоянии. Находясь в состоянии, экземпляр сущности может бездействовать и ждать наступления некоторого события, а может выполнять длительную операцию. Например, рассчитать допускаемые скорости do / calculateVdop(). Допускается указывать несколько операций в виде отдельных строк, каждая из которых начинается с метки «do», или в виде одной строки, операции в которой отделены друг от друга точкой с запятой.

    Допускается определять в характеристике собственные метки. На следующем рисунке показан пример состояния с характеристикой.

    Пример состояния

  2. Переход (англ. transition) – отношение между двумя состояниями, показывающее возможный путь изменения состояния экземпляра сущности. Считается, что в состоянии экземпляр сущности находится продолжительное время, а переход выполняется мгновенно.

    Переход отображается в виде однонаправленной ассоциации между двумя состояниями. При смене состояний говорят, что переход срабатывает. До срабатывания перехода экземпляр сущности находится в состоянии, называемом исходным, а после его срабатывания – в целевом.

    Различают два вида переходов: нетриггерный и триггерный. Переход первого вида, называемый также переходом по завершении, срабатывает неявно, когда все основные операции (с метками entry, do и exit) в исходном состоянии успешно завершают свою работу. Данный вид перехода обозначается стрелкой без надписи. Для наступления триггерного перехода необходимо наступление некоторого события, которое записывается над стрелкой. В общем случае над стрелкой может быть записана строка текста вида «событие [сторожевое условие] / действие». Указываемое действие представляет собой атомарную операцию, выполняемую сразу после срабатывания соответствующего перехода и до начала каких бы то ни было операций в целевом состоянии. Разрешается указывать не одно, а несколько обособленных действий, отделенных друг от друга точкой с запятой. Обязательное требование – все действия в списке должны четко различаться между собой и следовать в порядке их записи. Примеры спецификации переходов:

    • mouseClick() – нажатие кнопки мыши в момент, когда указатель находится над моделируемым объектом (например, над командной кнопкой, запускающей процедуру определения допускаемых скоростей);

    • mouseClick() / setFocus() – нажатие кнопки мыши с одновременным установлением фокуса на моделируемом объекте;

    • mouseClick() [isEnabled()] / setFocus() – нажатие кнопки мыши с одновременным установлением фокуса на моделируемом объекте при условии, что он доступен. В данном примере объект переходит в новое состояние только в том случае, если произойдет событие и сторожевое условие будет истинно. Вычисление истинности сторожевого условия происходит только после возникновения ассоциированного с ним события, инициирующего соответствующий переход. Если событие не произошло или сторожевое условие ложно, то переход не срабатывает, и действие, записанное через «/», не выполняется;

    • at 14:00:00 или [getTime() = 14:00] – текущее время на компьютере равно 14 часам;

    • при построении концептуальных диаграмм допускается обозначать переход произвольной строкой текста, характеризующей событие. Например, «столкновение» или «выход из строя».

    Переход может быть направлен в то же состояние, из которого он выходит. Такой переход называется рефлексивным. В отличие от внутренних переходов, при рефлексивном переходе выполняются внутренние действия, ассоциированные с метками entry и exit.

    На следующем рисунке показаны простой и рефлексивный переходы.

    Примеры переходов

    Помимо простых состояний (англ. simple state), изображенных выше, на диаграмме могут отображаться составные состояния (англ. composite state), состоящие из вложенных в них подсостояний (англ. substate).

    Составное состояние и подсостояния

    Составное состояние, которое может использоваться в разных контекстах, в т.ч. и для разных диаграмм (автоматов), называются подавтоматами (англ. submachine state). Составное состояние может быть разбито на зоны (англ. regions), называемые также параллельными подавтоматами (англ. concurrent substates). Если на диаграмме имеется составное состояние с вложенными параллельными подавтоматами, то экземпляр сущности может одновременно находиться в нескольких подсостояниях, но не более чем по одному из каждого подавтомата. Если какой-либо из подавтоматов пришел в свое конечное состояние раньше других, то он должен ожидать, пока другие подавтоматы не придут в свои конечные состояния.

    Составное состояние с вложенными параллельными подавтоматами

    В некоторых случаях бывает желательно скрыть внутреннюю структуру составного состояния в целях улучшения восприятия диаграммы. В подобной ситуации в правом нижнем углу указывается специальный символ, означающий, что структуру состояния можно посмотреть на отдельной диаграмме.

    Пример составного состояния со скрытой внутренней структурой

В UML также определено несколько псевдосостояний (англ. pseudostate), которые перечислены в следующей таблице.

Наименование Обозначение Назначение
Начальное (англ. initial) Начальное состояние автомата, начальное подсостояние составного состояния или параллельного подавтомата. Из начального состояния могут только исходить переходы.
Конечное (англ. final) Конечное состояние автомата, конечное подсостояние составного состояния или параллельного подавтомата. В конечное состояние могут только входить переходы. Примечание. В стандарте UML 2.5 считается состоянием, а не псевдосостоянием.

Наименование Обозначение Назначение
Немедленное завершение (англ. terminate) Аналогично конечному состоянию, но подразумевает немедленное прекращение деятельности и уничтожение экземпляра сущности, для которой построен автомат.
Точка входа (англ. entry point) Точка входа в автомат или составное состояние. Может быть несколько. Допускается крепление к границе составного состояния.
Точка выхода (англ. exit point) Точка выхода из автомата или составного состояния. Может быть несколько. Допускается крепление к границе составного состояния.

Наименование Обозначение Назначение
Ветвление (англ. fork) Ветвление переходов в параллельные подавтоматы.
Соединение (англ. join) Соединение переходов из параллельных подавтоматов. Выполняет функцию синхронизации выхода из параллельных подавтоматов составного состояния.

Наименование Обозначение Назначение
Перекресток (англ. junction) Соединение и ветвление переходов для последовательных состояний. В случае ветвления для каждой исходящей из перехода ассоциации должно быть задано сторожевое условие.

Наименование Обозначение Назначение
Выбор (англ. choice) Аналогично переходу, работающему на ветвление для последовательных состояний.

Наименование Обозначение Назначение
Поверхностное историческое (англ. shallow history) Указывается внутри составного состояния и подразумевает запоминание текущей конфигурации составного состояния при выходе из него. Переход в историческое состояние восстанавливает запомненную конфигурацию составного состояния и продолжает работу составного состояния с того момента, когда его прервали в прошлый раз. Внутри составного состояния может быть только одно историческое состояние.
Глубинное историческое (англ. deep history) Аналогично поверхностному историческому состоянию, но распространяется на все уровни вложенности подсостояний.

Правила и рекомендации по разработке диаграмм автоматов

При разработке диаграмм автоматов следует придерживаться следующих правил и рекомендаций.

  1. Наличие у экземпляра сущности нескольких состояний, отличающихся от простой схемы «исправен – неисправен» или «активен – неактивен», служит признаком необходимости построения диаграммы автоматов. При выделении состояний и переходов следует помнить, что длительность срабатывания переходов должна быть существенно меньшей, чем нахождение моделируемого объекта в соответствующих состояниях. Каждое из состояний должно характеризоваться определенной устойчивостью во времени. Так, на рисунке ниже при моделировании поведения технического устройства, в простейшем случае, можно выделить два или три состояния. При этом в одном случае ремонт показан в качестве перехода, т.е. считается, что занимает мало времени, а в другом – в качестве состояния, что больше соответствует реалиям жизни.

    Примеры выделения состояний и переходов

  2. Автомат (диаграмма) обязательно должен начинаться знаком начального состояния и заканчиваться знаком конечного. Начальное состояние указывается только один раз, а конечных может быть несколько в целях минимизации пересечений переходов. Для подавтоматов рекомендуется придерживаться этого же правила или использовать точки входа / выхода. Допускается не указывать начальных / конечных состояний и точек входа / выхода для составных состояний или подавтоматов, когда начальное подсостояние (подсостояния) очевидны.

  3. Для облегчения восприятия диаграммы рекомендуется использовать декомпозицию со скрытием составных состояний.

  4. Диаграмма не должна содержать изолированных состояний и переходов. Переходы и их спецификация должны быть заданы таким образом, чтобы на графе каждое состояние было потенциально достижимо из начального и из любого состояния было потенциально достижимо конечное. На следующем рисунке из состояния 2 нет пути в конечное, а из начального состояния нет пути в состояние 3.

    Пример неправильно составленной диаграммы

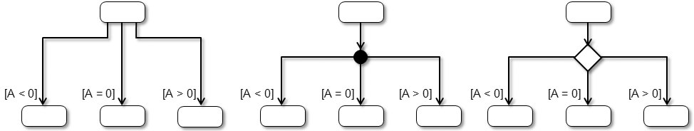
  5. Триггерные переходы по условию на диаграмме можно показать тремя способами.

    Способы отображения триггерных переходов по условию

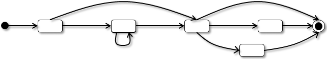
  6. В каждый момент времени автомат или подавтомат должен находиться только в одном состоянии. Это означает, что спецификация переходов из одного состояния не должна допускать потенциальной возможности перехода в два и более состояний. На следующем рисунке приведены примеры фрагментов диаграмм с конфликтными переходами.

    Фрагменты диаграмм с конфликтными переходами

Исключением из этого правила является параллельный переход в подсостояния параллельных подавтоматов одного составного состояния.

Примеры построения диаграмм автоматов

Детализация вариантов использования с помощью диаграмм автоматов позволяет более наглядно отобразить логику их реализации в системе (компоненте). С этой целью на диаграмме указывается основной и альтернативные потоки событий как последовательности состояний и переходов. Основной поток лучше отображать прямыми стрелками, а альтернативные – загнутыми.

Диаграмма на следующем рисунке, с одной стороны, описывает поведение, реализуемое в рамках варианта использования, а с другой стороны, может расцениваться как описание поведения компонента (подсистемы) или системы.

Пример детализации варианта использования

Узлы, входящие в состав системы и представляющие собой различные аппаратные устройства, как правило, характеризуются богатым набором состояний. Диаграммы автоматов являются удобным инструментом анализа, проектирования и реализации их поведения. Например, банкомат, сопряженный с информационной системой, может характеризоваться состояниями «инициализация», «ожидание», «прием карточки», «обработка банковской транзакции», «выдача наличных» и т. д.

Объекты, как и узлы, могут иметь множество состояний, что оправдывает моделирование их поведения с помощью диаграмм автоматов. Например, графический объект, отображаемый в окне программы, может иметь состояния: «инициализация», «отображен», «перемещается», «меняет размер», «скрыт», «мигает», «меняет фоновый рисунок» и т. д.

В рамках построения модели анализа, диаграммы автоматов являются удобным средством моделирования графического интерфейса программы и реакции его элементов на действия пользователя. Такие диаграммы, в дополнении к прототипам пользовательского интерфейса, позволяют лучше понять логику работы системы и приемы взаимодействия пользователей с ней.

Ниже показана контекстная диаграмма, моделирующая реакцию системы на выбор пользователем пунктов меню.

Контекстная диаграмма автоматов системы определения допускаемых скоростей

На диаграмме приняты следующие условные обозначения:

  • ВКП – ввод, корректировка или просмотр данных;
  • selectMenuItem() – выбор пункта меню;
  • closeWindow() – закрытие окна;
  • closeApplication() – закрытие программы.

При запуске программы вначале осуществляется ее инициализация (чтение текущих настроек и отображение основного окна программы). Далее программа автоматически (по нетриггерному переходу) оказывается в состоянии ожидания выбора пункта меню. После выбора пункта меню осуществляется отображение соответствующего диалогового окна на экране, выполнение необходимых действий (как правило, в интерактивном режиме) и закрытие окна с возвратом в исходное состояние.

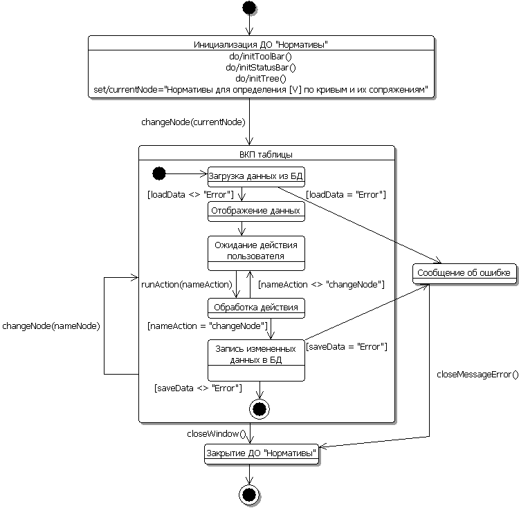
На следующем рисунке показана диаграмма декомпозиции для составного состояния «ВКП нормативов».

При выборе пункта меню «Нормативы» на экране отображается соответствующее диалоговое окно. В момент инициализации создаются панель инструментов initToolBar(), строка сообщений initStatusBar() и дерево с наименованиями таблиц в левой части диалогового окна initTree(). Исходным выбранным узлом дерева устанавливаются «Нормативы для определения [V] по кривым и их сопряжениям». При выборе узла дерева changeNode(), связанного с таблицей, система выполняет стандартные операции, начиная от загрузки данных, непосредственной обработки действий пользователя runAction() с таблицей или ее полями (редактирование значений, вставка новой записи, удаление записи, печать таблицы и т. д.) и заканчивая сохранением в базе всех измененных данных. Если в момент загрузки или записи данных возникает ошибка, то на экране отображается соответствующее сообщение. Закрытие окна «Нормативы» предусмотрено после закрытия сообщения об ошибке closeMessageError() или в результате стандартного действия пользователя closeWindow().

Для наглядного представления работы (поведения, реакции на действия пользователей) системы рекомендуется разработать и согласовать с заказчиком прототипы экранов и окон пользовательского интерфейса.